2013.03.24
お断り |
このコーナーは「推薦する本」というタイトルであるが、別にぜひ読んでいただきたいというすばらしい本だけにこだわらず、いろいろな本についても駄文を書いている。そして書いているのは本のあらすじとか読書感想文ではなく、私がその本を読んだことによって、何を考えたかとか何をしたとかいうことである。読んだ本はそのきっかけにすぎない。だからこの本の内容について知りたいという方には不向きだ。
よってここで取り上げた本、そのものについてのコメントはご遠慮する。
|
SPIなんて言葉をご存じでしょうか?
今はSPI2とかSPI3なんてのにバージョンアップしているそうですが、これはリクルート社が作った適性検査なんだそうです。会社で採用試験をするとき、学校の成績が良いから役に立つとは言えないので、その人の適性をみるためのものだそうです。
じゃあ、どんなものかというと
|
問:最初に示された二語の関係を考え、同じ関係のものをア〜ウより選びなさい。
|
|
電話 : 通信
ア 太鼓 : ばち
イ 洗濯機 : 冷蔵庫
ウ 鉛筆 : 筆記
|
|
答はウ、「○○で○○」すると言える関係が共通しているからだそうです。
なんかナゾナゾというか幼稚園児用かと…・
|
まあ、目的次第でそういう試験もあるのでしょう。しかし、一人で暇つぶしにするのには不向きというか、いささかつまりません。まして日常生活に役に立つとも思えません。実を言いましてもう10年以上前、前の職場にいたとき、SPIの問題集をやるのが趣味の人がいました。何のためなのか? よほど暇だったのでしょうか?
私のオヤジが生きていた時、毎年福島県立の公立高校の試験問題が新聞の地方版に載ると英語を除いて100点をとるぞといって一生懸命に解いていました。
|
オヤジは大正時代の尋常小学校しかでていませんでしたから、学校で英語を習いませんでした。
しかし中学校レベルの、数学、国語、社会、理科などはかなり知識があり、50を過ぎても高校入試くらいはラクラクできたのです。
|
そんなことをする方って結構いるのではないでしょうか。
高校入試なら一般社会人でもかなりの点数が取れると思います。しかし大学入試問題になると普通の人には難しすぎるし、ひっかけとか重箱の隅をつつくような問題が多く、社会人にとっては学生時代の記憶の点検になっても日常の生活とは無縁です。
私たち一般人が微分方程式どころか微分積分をするなんて、よほどの仕事でもないとありません。いや二次方程式を解くということさえまずないでしょう。でも足し算引き算はもちろん、マイナス符号の付いた計算や加減乗除が入り混じった計算くらいはあるでしょう。
最近のこと、家内がクラブの昼食会の余興で次のような算数の問題を出したら、ほとんどの人ができなかったと言います。
|
6+18÷6−2=
多くの人は「答えは2」と言ったそうです。
|
それじゃいくらなんでも・・・お子さんあるいはお孫さんに笑われますよ。
難しくなく易しくなく、問題を解くのが面白く、日常生活と直結しているような問題はないものでしょうか?
私は定年退職者で毎日が日曜日、あるとき本屋をさまよっていて、南の島ではなく資格試験問題集のコーナーに流れ着きました。いろいろな資格試験や採用試験の過去問や対策集が並んでいます。暇なので面白そうなものを手に取り眺めました。そしてこれをみつけたのです。
| 書 名 | 出版社 | ISBN | 初版 | 定価 | 巻数 |
| 一般曹候補生対策問題集 | 成山堂書店 | 4415213197 | 2012/07 | 1470 | 全1巻 |
これは自衛隊の幹部や任期制の兵士でなく、その中間の終身雇用の曹(下士官)となる人の採用試験だそうです。試験科目は、国語、数学、英語のみっつで各科目とも15問です。
そしてその試験の内容とレベルなのですが、私が眺めた限りでは一般社会人の教養とか日常生活に非常に密接なものだと思ったのです。
とんでもなく難しい問題とか、日常使うことのないようなことは社会人にとってあまり関係ありませんが、常識として知らないといけないようなこととか、これを知っていると役に立つというレベルなのが面白いところです。
どんな問題があるのだろうって
待ってました。
以下そのさわりです。
|
■国語
問:次に示す略義に該当する語として正しいものはどれか
|
|
本筋からそれること
(1)脱出
(2)軽率
(3)逸脱
(4)逆行
(5)分散
|
|
問:次の文のうち、下線部が主語に当たるものはどれか
|
|
(1)決められたことさえ守れば大丈夫だ。
(2)外観ばかりか内容までよくない。
(3)長期休暇は南の島に行こう。
(4)この事故について子供だけ叱っても仕方がない。
(5)なんでもかんでも押し入れに突っ込んで隠した。
|
|
問:次の下線部に当たる漢字を正しく書いているものはどれか
|
|
(1)伝統産業がスイタイする一方で、新たな産業が興ってきた。:衰退
(2)伝染病にかかった住民はカクリして治療する必要がある。:隔裏
(3)初めて来た場所で道に迷ってしまい、トホウに暮れた。:塗方
(4)災害に備えて備蓄物資を倉庫にハンニュウする。:範入
(5)その学生は、治安の状況を把握せずに、ムボウな旅行計画を立てた。:無望
|
|
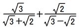
■数学
問:次の値はいくらか
|
|
(1)3
(2)4
(3)5
(4)6
(5)7
ルートの算式をhtmで書こうとしたのですが、スタイルシートでもできませんでした。
ご存じの方、教えてください。
|
| 問: |
何個かの飴玉を3人で分けるのに、まずAさんが全体の5分の2の個数の飴玉を取った。次にBさんが残りの飴玉の3分の1の個数よりも2個多く取ったところ、Cさんの分は12個になった。最初にあった飴玉の個数はいくらか。
|
|
(1)25個
(2)30個
(3)35個
(4)40個
(5)45個
|
| 問: |
自動車で自分の家から320キロ離れた場所に行くのに、高速道路と一般道を利用してちょうど5時間かかった。高速道では時速80キロ、一般道では時速40キロの一定の速さで走ったものとする。高速道を走った時間は次のどれか。
|
|
(1)2時間
(2)2時間30分
(3)2時間40分
(4)3時間
(5)3時間20分
|
|
■英語
問:AとBの関係が、CとDの関係と同じものはどれか
|
| | A | B | C | D |
| (1) | much | most | bad | worse |
| (2) | music | musician | magic | magical |
| (3) | write | wrote | speak | spoken |
| (4) | tooth | teeth | child | children |
| (5) | true | truth | happy | happily |
|
|
|
問:次の英文のうち、( )内に「in」が入るものはどれか。
|
|
(1)I waited ( ) him for a long time.
(2)John is sick ( ) bed.
(3)The hill was covered ( ) snow.
(4)I saw him ( ) my way home from school.
(5)His office opens ( ) nine o'clock.
|
こんなレベルの問題が各科目15問、そんなに難しくなくゴロゴロしながら考えるには最適レベルでしょう?
おっと、本屋に行ってこの問題集を買おうなんてしてはいけません。アマゾンでも古本屋でも過去の問題集はみつかります。ほとんどの資格試験でも制度改革などがなければ毎年似たような問題が繰り返し出されますから、数年前の問題集でもせんべいを食べながらの暇つぶしには十分です。
実を言いまして私は本屋でこれをみて面白そうだと思いまして、もちろん買わずに本屋を出て、近くの古本屋に行って何年か前の問題集を買って帰りました。新品は1500円くらいしますが古本のお値段は100円しませんでした。
家ですることがないときはコタツでこの本を開いて問題を見ています。正直言いまして私は数学は100点取れません。いや国語も英語も100点は取れません。15問のうち2・3問は必ず間違えます。英語の場合、アクセントなんてわかりませんから。
家内は勉強とは無縁の女ですが、テレビがつまらないときはこの本を広げてやってます。
|
ふたりで繰り返し問題を解くので、本に書き込みするのは禁止しています。
|
普通の資格試験の問題、例えば宅地建物とか危険物となると、専門的なこととか、法律の知識がなければどうにもなりません。だけど探せばけっこう常識で解けるような資格試験とか採用試験などが見つかるかもしれません。
テレビでくだらないひな壇番組とか結末の見えたミステリーを観てひまつぶしするよりも、はるかに面白いですよ。
推薦する本といいながら、いつも推薦していないけど、これは推薦します。
暇つぶしにはサイコーです。
おっと、この問題をすれば頭がよくなるわけはありません。でも頭の錆び落としくらいにはなるでしょう。
レイシオ様からお便りを頂きました(2013.03.25)
一般曹候補生問題集の件
この間、ネットをさまよっていましたら面白いのを見つけました。
【問題】
40−32÷2=
小学生「4!」
文系大学の家庭教師「あちゃー、やっぱりわかってないか・・・」
理系大学の家庭教師「へー、よくわかってんじゃん!」
さて、なぜでしょうか?
|
|
レイシオ様 まいどありがとうございます。
最初、エッツと思いました。
しかしよく見ると、「!」マークがあります。答えにそんなものをつけるとは、やったぞとかいうニュアンスなのかなと思いましたがどうも気になりました。
待てよと
つまり 4!は4の階乗と仮定すると、4×3×2×1で24となり、なんとかつながったようです。
ヤレヤレ
|
目次にもどる